高光谱成像仪数据预处理方法之多元散射校正法
发布时间:2025-11-06
浏览次数:221
高光谱成像仪获取的光谱信息存在许多的无用信息,对高光谱数据进行预处理,可以对光谱数据进行优化,进而保证预测模型建立的准确性。本文对高光谱成像仪数据预处理方法之多元散射校正法做了介绍。
高光谱成像仪获取的光谱信息存在许多的无用信息,对高光谱数据进行预处理,可以对光谱数据进行优化,进而保证预测模型建立的准确性。本文对高光谱成像仪数据预处理方法之多元散射校正法做了介绍。

高光谱成像仪数据预处理方法之多元散射校正法原理:
多元散射校正法目的是校正所有光谱的散射同时获得较“理想”光谱,以消除散射对光谱的影响。MSC方法基于每一条光谱应当与“理想”光谱成线性关系的假设将校正集的平均光谱代替“理想”的光谱。因此,每个样品的任意一个波长点下的反射吸光度值与其平均光谱的相应吸光度的光谱都可以看作是近似的线性关系,通过光谱集线性回归可以获得直线的截距、斜率,以此来校正每一条光谱。样品独特的反射作用由截距的大小来反映,而样品的均匀性则通过斜率的大小反映。它的具体方法是:首先利用最小二乘法推定出和值,然后根据这个和值将未知粒度样品的光谱全部变换为假想的基准粒度的光谱。
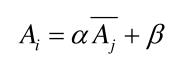
高光谱成像仪数据预处理方法之多元散射校正法式子:
多元散射校正线性回归方程可用下式表示:

式中:A表示校正集的光谱矩阵,Ai表示第i个样品的光谱,α和β的值可由PLS回归求出,通过调整α和β这两个值可以使光谱之间产生一定的差异。经过附加散射校正后的光谱并不能完全的代表样品的真实光谱,但是通过这样的校正,可以最大可能的消除随机变异。光谱与浓度线性关系较好、化学性质相似的情况下,MSC校正通常会取得较好的效果。
上一页 : 高光谱成像仪数据预处理方法之平滑法
下一页 : 高光谱成像仪数据预处理方法之标准正态变量校正法
相关产品
-
高光谱成像仪基于分光元件不同有哪些类型?
高光谱成像仪可以根据分光原理、分光元件等分为不同的类型,其根据分光元件的不同,可以分为声光可调谐滤波器(AOTF)和液晶可调谐滤波器(LCTF)两种不同的类型..
-
快照式光谱成像系统的性能参数有哪些?
快照式光谱成像系统作为一种无损检测系统,可以对样本进行定性与定量的分析,并给出相应的图谱信息,因而具有图谱合一的特点。那么,快照式光谱成像系统的性能参数有哪些?..
-
高光谱成像仪根据分光原理的不同有哪些类型?
高光谱成像仪根据分光原理的不同,可以分为棱镜、光栅色散型,干涉型,滤光片型,计算机层析型,二元光学元件型,三维成像型光谱技术等不同类型。本文对这些类型做了简要的..
-
二元光学元件和三维成像光谱技术怎么理解?
光谱成像技术根据分光原理的不同可以分为不同的类型,其中就包括二元光学元件型和三维成像光谱技术。本文对二元光学元件和三维成像光谱技术的原理做了简要的介绍。..













