高光谱成像仪数据预处理方法之平滑法
发布时间:2025-11-06
浏览次数:195
高光谱成像仪获取的光谱数据具有很多冗余的信息,对高光谱数据进行预处理,在减弱噪声因素的干扰同时,还可以对光谱数据进行优化处理,将代表重要信息的那部分光谱寻求出来。本文对高光谱成像仪数据预处理方法之平滑法做了简要的介绍。
高光谱成像仪获取的光谱数据具有很多冗余的信息,对高光谱数据进行预处理,在减弱噪声因素的干扰同时,还可以对光谱数据进行优化处理,将代表重要信息的那部分光谱寻求出来。本文对高光谱成像仪数据预处理方法之平滑法做了简要的介绍。

光谱成像仪数据预处理方法之平滑法原理:
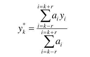
为了消除高频干扰产生的影响,通常利用平滑处理等操作来处理光谱数据,即拟合被平滑点的前后所对应的若干个点,通过这种方法来优选出一个最理想的估计值。平滑算法一般可用如下公式表示:

式中:yk表示第k点(即中心点)平滑前的值;y*k表示第k点平滑后的值;ai表示平滑系数。“窗口”宽度为2r+1个点,在窗口内进行加权平均,平均区段是逐点后移的。这种平滑操作过程对减弱高频干扰产生的影响具有较好的效果。然而此处理过程也存在一定的弊端,主要原因:一是这种处理方式将有效的信息也经过了同样的处理,这样就容易造成信号的失真,与此同时也降低了分辨率;二是这种处理方式将光谱的最前面r点和最后面r点忽略了,未能进行处理。
光谱成像仪数据预处理方法之平滑法类型:
几种目前广泛使用的平滑法如:ND平滑法和S-G卷积平滑法等,其中的S-G平滑法在光谱去噪方面应用广泛。一般的平滑可用公式表示为:

式中:Xi和X*i分别表示光谱数据向量中,平滑前后的某一元素,Wj表示权重因子。采用SG处理方式时,处理的效果会因窗口宽度大小的不同而有所差异。这种平滑方法的基本原理:对光谱曲线低通滤波,去掉高频成分,保留有用的低频信息。在权重因子不同的情况下,低通的滤波器频谱也会不同,而其频谱特性会对滤波是否达到理想的状态起到决定性影响。
相关产品
-
三恩时集团开工大吉|坚守品质初心,共赴2026新辉煌
奋斗正当时,不负好春光!三恩时2026正式开工,全体同仁凝心聚力、整装待发。..
-
高光谱技术开启云冈石窟数字化保护“光谱时代”
央广网太原2月6日消息(记者张洁 温雅慧)五年光阴,于千年文物来说,不过转瞬即逝,但对于文保工作者,却是长情守护。全国人大代表,云冈研究院院长杭侃列席山西省十四..
-
三恩时集团马年春节服务指南:暖心守护,助您安心备货
亲爱的合作伙伴们,马年春节的脚步越来越近了,一年一度的物流高峰也即将到来,您的备货计划是否已做好?不妨先来看看,三恩时集团马年春节服务指南。..
-
暖心相伴迎马年:三恩时集团春节福利温暖启程
随着农历马年春节的临近,三恩时集团广州总部洋溢着一片温馨祥和的气氛。1月5日下午,一场精心筹备的员工福利发放活动在总部办公楼内展开,每位员工都收到了公司特别准备..













