高光谱成像仪非平面光栅分光和棱镜分光的原理
发布时间:2025-08-22
浏览次数:407
高光谱成像仪按照分光方式的不同,可以分为不同的类型,其中比较常见的就是色散型成像光谱仪。而色散型成像光谱仪根据其分光器件的不同又可分为平面光栅光谱仪、非平面光栅光谱仪和棱镜分光光谱仪。本文对高光谱成像仪非平面光栅分光和棱镜分光的原理做了介绍。
高光谱成像仪按照分光方式的不同,可以分为不同的类型,其中比较常见的就是色散型成像光谱仪。而色散型成像光谱仪根据其分光器件的不同又可分为平面光栅光谱仪、非平面光栅光谱仪和棱镜分光光谱仪。本文对高光谱成像仪非平面光栅分光和棱镜分光的原理做了介绍。

高光谱成像仪非平面光栅分光原理:
凸面光栅和凹面光栅都可将其称之为非平面光栅。凸面光栅通常呈现对称分布结构,光能量利用效率高,像质稳定性较强,机械结构简单,可以在一定程度上能够抵消恶劣环境对光谱仪状态的影响,因此常常在研发航天用途的高光谱载荷时使用。但生产凸面光栅所耗费的社会必要劳动时间较多,且仪器的光学装调和像质校正较难,元件的获取渠道稀缺。凹面光栅光谱仪的光路结构简单,体积较小。由于凹面光栅会带来较大的光谱弯曲,且温度适应范围一般,因此通常将四面光栅集成在非成像领域的小型光谱设备当中。但是由于非平面光栅在衍射时会使波长较长的电磁波叠加在波长较小的衍射主极大位置,因此,那些探测波长范围较大的光谱仪并不适合采用非平面光栅器件。此外,光栅分光的过程会损耗入射光的能量,不利于仪器信噪比的提升。
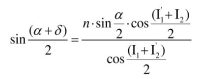
高光谱成像仪棱镜分光的原理:
为弥补光栅光谱仪的不足之处,利用棱镜对不同波长电磁波有不同折射率的物理规律实现光谱分离的棱镜光谱仪具有很高的光谱效率,且不会发生光谱混叠的现象。棱镜分光的光学原理式如下所示:

其中α为棱镜顶角,δ为棱镜的偏向角,I1为平行入射光与棱镜法线方向的夹角,I1为棱镜对入射光第一次折射的折射角,I2和I2分别为棱镜对入射光第二次折射的入射角和折射角。当棱镜的顶角很小时,光楔就是棱镜分光最经典的具体应用之一。然而,棱镜光谱仪的分光是非线性的,会在探测器上引入较大的光谱弯曲,并不大适用于较大通光孔径的光谱光学系统。此外,从上式中我们也可以看出,棱镜对入射光有规律的色散是基于入射平行光与法线之间有固定夹角的前提下才得以实现的,因此,针对有一定视场角的棱镜光谱仪而言,其光学系统必须经过特殊设计才能获得较好的像质和较为稳定的光谱响应曲线。
相关产品
-
高光谱数据的选取及特征波长的提取方法
高光谱成像仪获取的光谱信息含有很多的无用信息,因此就需要进行光谱数据的选取,在选取了有用的光谱数据后,就需要进行特征波长的提取,为预测模型的建立做准备。本文对高..
-
热红外高光谱成像仪常见分光方式及优缺点
热红外高光谱成像仪根据分光方式的不同,可以分为色散型、干涉型和滤光片型等类型,不同分光方式的热红外高光谱成像仪具有不同的优缺点。本文对热红外高光谱成像仪常见分光..
-
热红外高光谱成像仪背景抑制器设计方式有几种?
为防止仪器自身温度引起的热背景辐射淹没目标微弱的光谱信号,红外高光谱成像系统必须设计背景抑制器。本文对仍红外高光谱成像仪背景抑制器的三种类型:制冷型渐变滤光片、..
-
高光谱成像技术在生物医学方面的几点应用
高光谱成像技术作为精密的光学仪器,可以对被检测样品的形态和成分进行分析,因此在不同的行业有着广泛的应用。本文对高光谱成像技术在生物医学方面的几点应用做了介绍,感..













