高光谱成像仪的分光原理之平面光栅分光
发布时间:2025-08-22
浏览次数:302
高光谱成像仪按照分光方式的不同可以分为色散型成像光谱仪和干涉型成像光谱仪,色散型成像光谱仪根据其分光器件的不同分为平面光栅光谱仪、非平面光栅光谱仪和棱镜分光光谱
高光谱成像仪按照分光方式的不同可以分为色散型成像光谱仪和干涉型成像光谱仪,色散型成像光谱仪根据其分光器件的不同分为平面光栅光谱仪、非平面光栅光谱仪和棱镜分光光谱仪。本文对平面光栅分光高光谱成像仪的原理做了介绍。

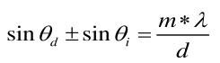
平面光栅光谱仪是一种十分常见的成像光谱仪,其使用的平面光栅是光谱技术中常用的光学器件之一。光栅色散的基本原理如下列公式所示:

其中θi为入射光线与法线之间的夹角,θd为出射光线与光柵去线的夹角,m为衍射级次,d为光栅常数,λ为入射电磁波的波长。在入射角和衍射角很小的情况下,光栅分光可近似认为呈现线性分布,有利于光谱仪光学系统的设计和探测器的选型,并且可以保证仪器的光谱分辨率稳定,使仪器的探则能力得到提高。然而,在平面光栅的早期应用中,由于受当时的工艺制造水平的限制,平面光栅仅能够满足于小视场或光机扫描型成像光谱仪的应用需求。此外,由于一般平面光栅的衍射光能量大部分集中于零级衍射主极大上,因此平面光柵光谱仪的信噪比和灵敏度与其它类型的光谱仪相比并不突出。
近年来,随着工业制造能力的不断升级,平面光柵不仅可以集成在视场较大的光谱相机当中,还可以通过倾斜狭缝平面与光栅平面的方式,制造出可以将主要衍射能量集中于非零级衍射主极大上的闪耀光栅器件,使得平面光栅光谱仪的灵敏度得到提高,并且不再局限于小视场或光机扫描型的成像方式。
上一页 : 森林调查选用哪种高光谱设备——赛斯拜克无人机高光谱系统
下一页 : 高光谱成像仪非平面光栅分光和棱镜分光的原理
相关产品
-
法庭科学伪造人像的多光谱检验方法
多光谱人像multispectral face image,利用多光谱人像采集设备,拍摄到的包含人脸信息的多光谱图像°本文简单总结了法庭科学伪造人像的多光谱检验..
-
伪造人像多光谱检验方法示例及说明
模型辅助检验法,是基于机器学习或专家系统,对真实人像和伪造人像的多光谱特性波段开展综合分析,以辅助判断真实人像或伪造人像检验特征的方法的统称。采用模型(例如:深..
-
用于遥感和高光谱成像的制冷型红外探测器
据麦姆斯咨询报道,制冷型红外探测器技术进步推动了众多红外遥感设备的快速发展,这些设备广泛应用于环境监测领域,包括高光谱遥感、空间成像与监控等。得益于低温制冷型探..
-
高光谱成像仪用于苹果内外品质无损检测
苹果作为农产品的重要组成成分,苹果的质量安全问题显得越来越重要,在购买苹果时,消费者不仅重视其外形,而且对于其内部品质也越来越在乎。但传统苹果内在品质检测损耗严..













