高光谱数据预处理方法之多元散射校正法
发布时间:2025-11-21
浏览次数:327
高光谱成像仪在采集数据的过程中容易受到类似仪器性能、样本背景、电噪音等因素的影响,这导致获得的光谱信号受噪音的干扰。所以,在得到所有样品的原始光谱以后,需要对其进行预处理来提高光谱数据的信噪比。本文对高光谱数据预处理方法之多元散射校正处理法步骤做了简要的介绍。
高光谱成像仪在采集数据的过程中容易受到类似仪器性能、样本背景、电噪音等因素的影响,这导致获得的光谱信号受噪音的干扰。所以,在得到所有样品的原始光谱以后,需要对其进行预处理来提高光谱数据的信噪比。本文对高光谱数据预处理方法之多元散射校正处理法步骤做了简要的介绍。

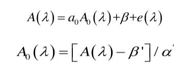
多元散射校正能够有效消除散射的影响,进而增强和成分含量对应光谱的吸收信息。该算法首先需要建立待测样品的“理想光谱”,即光谱的变化值与样品的成分含量满足线性关系。然后,基于该“理想光谱”对其他样品的光谱进行修正。可实际应用中,获取“理想光谱”非常困难,所以常常取所有样品光谱的平均值来近似代替。相应的算法步骤如下:
1.根据最小二乘法确定α和β值,把所有待测样品的光谱A(λ)变换成假想的基准粒度光谱A0(λ)。假设这两个参数的推定值为α'和β',根据公上式变换可得到下式:

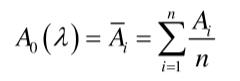
2.基于整体样品的平均光谱值求得α'和β'的基准粒度光谱,如下式所示:

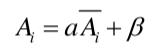
3.线性回归方程:

式中A表示校正集光谱数据矩阵,Ai表示第i个样品的光谱,通过最小二乘回归算法求得α和β。通过调整α和β,既可以减小光谱的差异性,又尽可能保留了原始光谱中和样品成分含量相关的有效信息。因此该算法大大提高了光谱的信噪比。
上一页 : 高光谱成像仪获取的光谱数据一般怎么分析?
下一页 : 器以载道丨高光谱遥感卫星:辨识大地的指纹
相关产品
-
【名人趣事】中国遥感的开拓者和奠基人——童庆禧院士
童庆禧1935年出生,作为中国遥感的开拓者和奠基人之一,他亲历了我国遥感事业从无到有、从弱到强的全过程。..
-
高光谱壁画图像修复基础理论
在处理高光谱壁画内容像时,首先需要理解其基本组成和特性。高光谱壁画通常由多波长的光谱信息构成,这些信息包含了丰富的色彩和细节特征。然而由于光照条件、环境因素以及..
-
【贵州】2026年3月遥感影像获取情况公告
..
-
高光谱图像数据基于纯像元的分析方法介绍
高光谱成像仪获取的高光谱数据数据量大,数据率高,巨大的数据量为应用和分析带来不便,因此产生了许多新的数据处理方法对高光谱数据进行处理。本文对高光谱图像数据基于纯..













