高光谱数据预处理方法之多元散射校正法
发布时间:2025-12-18
浏览次数:433
高光谱成像仪获取的光谱信息有很多冗余信息,因此就需要提取特征波长,然后进行光谱数据的预处理,提取有用信息,保证预测模型的准确性。本文对高光谱数据预处理方法之多元散射校正法做了简要的介绍。
高光谱成像仪获取的光谱信息有很多冗余信息,因此就需要提取特征波长,然后进行光谱数据的预处理,提取有用信息,保证预测模型的准确性。本文对高光谱数据预处理方法之多元散射校正法做了简要的介绍。

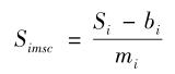
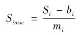
多元散射校正(MSC)可有效地消除散射带来的光谱差异,从而增强光谱与数据之间的相关性,该方法通过理想光谱修正光谱数据的基线平移和偏移现象,具体实现方法如下:
1.计算平均光谱作为标准光谱

2.将每个样本的光谱与平均光谱进行线性回归运算,得到每个样本相对于标准光谱的尺度平移量和偏移量

3.原始光谱减去求得的基线平移量后除以偏移量,得到校正后的光谱

式中:Pi,j—标准光谱矩阵;Si,j—原始光谱矩阵;n——样本数量;j——波段数量;Si—每个样本的光谱向量;mi—相对偏移系数;bi—平移量;Simsc——样本的MSC 校正光谱。
上一页 : 高光谱图像数据的预处理与数据特征分析方法
下一页 : 高光谱相机:防火材料研发与评估的“火眼金睛”
相关产品
-
【名人趣事】中国遥感的开拓者和奠基人——童庆禧院士
童庆禧1935年出生,作为中国遥感的开拓者和奠基人之一,他亲历了我国遥感事业从无到有、从弱到强的全过程。..
-
高光谱壁画图像修复基础理论
在处理高光谱壁画内容像时,首先需要理解其基本组成和特性。高光谱壁画通常由多波长的光谱信息构成,这些信息包含了丰富的色彩和细节特征。然而由于光照条件、环境因素以及..
-
【贵州】2026年3月遥感影像获取情况公告
..
-
高光谱图像数据基于纯像元的分析方法介绍
高光谱成像仪获取的高光谱数据数据量大,数据率高,巨大的数据量为应用和分析带来不便,因此产生了许多新的数据处理方法对高光谱数据进行处理。本文对高光谱图像数据基于纯..













